[Tutorial R] uji t Perbedaan Rata‐rata Dua kelompok berpasangan (dependent) parametrik December 17, 2013 Read more
[Tutorial Excel] uji t Perbedaan Rata‐rata Dua kelompok berpasangan (dependent) parametrik December 17, 2013 Read more
Uji t Perbedaan Rata‐rata Dua kelompok berpasangan (dependent) parametrik December 16, 2013 Read more
[Tutorial SPSS] uji t: Perbedaan Rata‐rata Dua sampel saling bebas (two sample for means) December 13, 2013 Read more
[Tutorial EXCEL] uji t: Perbedaan Rata‐rata Dua sampel saling bebas (two sample for means) December 13, 2013 Read more
[Tutorial R] uji t: Perbedaan Rata‐rata Dua sampel saling bebas (two sample for means) December 13, 2013 Read more
[Tutorial EXCEL] uji z: Perbedaan Rata‐rata Dua sampel saling bebas (two sample for means) December 12, 2013 Read more
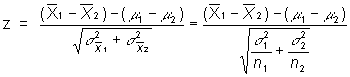
Pengujian Perbedaan Rata‐rata Dua sampel saling bebas (Independent two sample ) December 11, 2013 Read more
[Tutorial SPSS] uji t Rata-rata sampel tunggal (Single sample t-test) Parametrik December 08, 2013 Read more
Cara Membaca Output Regresi Linier Berganda pada SPSS menggunakan Tingkat Signifikansi dan Tabel Statistik July 11, 2016
PENGARUH DANA BAGI HASIL MIGAS DAN PENDAPATAN ASLI DAERAH TERHADAP BELANJA DAERAH DI KABUPATEN ACEH UTARA June 27, 2016
PENGARUH PENGEMBANGAN KARIER DAN KEDISIPLINAN TERHADAP KINERJA KARYAWAN PADA PT. YOGA WIBAWA MANDIRI LHOKSEUMAWE July 17, 2016
Social Plugin