VALIDITAS
Validitas menunjukkan sejauh mana suatu alat pengukur itu mengukur apa yang ingin diukur. Suatu instrumen yang valid akan mempunyai validitas yang tinggi, sebaliknya instrumen (kuesioner) yang kurang valid berarti memiliki validitas yang rendah. Untuk menguji tingkat validitas, biasanya peneliti mencobakan instrumen pada uji coba instrumen. Hal-hal yang perlu dipertimbangkan dalam menentukan banyaknya subyek uji coba antara lain:
- tersedianya subyek yang akan dijadikan sasaran;
- unit analisis yang diambil;
- kemampuan peneliti dalam hal waktu dan dana;
- tingkat kesulitan dalam pelaksanaan.
Jumlah subyek uji coba relatif, tidak ada aturan yang pasti, hanya saja sekitar 25-40 merupakan suatu jumlah yang sudah memungkinkan pelaksanaan dan analisisnya. Terdapat perbedaan pendapat mengenai dari mana subyek uji coba tersebut diambil. Apabila memungkinkan sebaiknya subyek uji coba diambil dari populasi yang nanti tidak akan dikenai penelitian. Namun jika tidak memungkinkan bisa mengambil di luar populasi dengan syarat ciri-ciri populasi yang diambil sebagai obyek uji coba sama atau hampir sama dengan ciri-ciri populasi yang akan diteliti.
Selain itu terdapat dua pendapat pro dan kontra mengenai penggunaan data uji coba. Pendapat yang pro menyatakan bahwa apabila uji coba menggunakan subyek yang diambil dari populasi, dan terbukti baik (valid), maka boleh ditambahkan sebagai data penelitian. Namun pendapat yang kontra menyatakan, data yang terkumpul dalam uji coba tidak boleh dicampur dengan data penelitian.
Secara umum terdapat dua macam validitas, yaitu:
1. Validitas kriterium/Eksternal
yaitu validitas yang ditinjau berdasarkan hubungannya dengan kategori tertentu. Tinggi-rendahnya koefisien validitas tes atau angket ditentukan berdasarkan hasil perhitungan koefisien korelasi. Validitas Eksternal terdiri dari:
- Validitas banding (validitas bersama atau validitas yang ada sekarang), yaitu validitas tes yang diperoleh dengan cara menghitung koefisien korelasi antara nilai-nilai hasil tes yang akan diuji validitasnya dengan nilai-nilai hasil tes terstandar yang telah mencerminkan kemampuan siswa.Dalam dunia pendidikan, biasanya diasumsikan bahwa nilai rata-rata ulangan harian sebagai hasil dari tes terstandar.
- Validitas ramal, yaitu validitas yang berkenaan dengan kemampuan suatu tes untuk dapat meramalkan keadaan yang akan datang berdasarkan kondisi yang ada sekarang. Suatu tes seleksi masuk siswa baru haruslah memiliki tingkat validitas ramal yang tinggi.
Rumus korelasi product momen (Pearson) yaitu
atau secara kasar sebagai berikut
2. Validitas Teoritik /Internal
Artinya validitas dicapai apabila terdapat kesesuaian antar bagian-bagian instrumen dengan instrumen secara keseluruhan. berikut jenis dari validitas internal:
a. Validitas butir,
yaitu sebuah instrumen dikatakan memiliki validitas tinggi apabila butir-butir yang membentuk instrumen tersebut tidak menyimpang dari fungsi instrumen
Secara umum langkah-langkah yang dilakukan dalam pengujian validitas butir adalah sebagai berikut:
- Menghitung korelasi setiap butir (item) dengan skor total (corrected item-total correlation).
- Membandingkan nilai korelasi dengan tabel r dengan tingkat signifikansi α dan derajat bebas N-2.
- Pengambilan keputusan
- Jika r hasil > r tabel, item tersebut valid
- Jika r hasil < r tabel atau r bernilai negatif, maka item tersebut tidak valid
- Dalam penerapan SPSS, butir-butir yang tidak valid dikeluarkan dari proses dan pengujian diulang untuk butir-butir yang valid saja.
Apabila dalam pengujian berikutnya masih ada butir yang belum valid maka proses pengeluaran butir yang tidak valid dan pengulangan pengujian harus terus dilakukan sampai semua butir valid. Semakin banyak pengulangan maka item yang menyusut semakin banyak
Hipotesis yang digunakan :
H0 = butir pertanyaan berkorelasi positif dengan skor total
H1 = butir pertanyaan tidak berkorelasi positif dengan skor total
b. Validitas faktor/konstrak
yaitu sebuah instrumen dikatakan memiliki validitas yang tinggi apabila faktor-faktor yang merupakan bagian dari instrumen tersebut tidak meyimpang dari fungsi instrumen.
Prosedurnya, tes dipengaruhi oleh faktor tertentu yang disebut sebagai tes yang memiliki muatan faktor (factor loading) yang tinggi.Pernyataan atau pertanyaan dikatakan valid jika r hitung > r tabel.
Hipotesis yang digunakan dalam uji validitas adalah sebagai berikut:
H0: Pernyataan tidak mengukur aspek yang sama
H1: Pernyataan mengukur aspek yang sama
Langkah-langkah pengujian validitas konstruk (menurut Suharsimi, dalam buku Husein Umar) adalah sebagai berikut:
- Mendefinisikan secara operasional konsep yang akan diukur.
- Mencari definisi dan rumusan tentang konsep yang akan diukur dari literarur yang ditulis para ahli.
- Kalau di dalam literatur tidak dapat diperoleh definisi atau rumusan konsep yang akan diukur, maka tugas penelitilah untuk membuat definisi dan rumusan konsep tersebut.
- Menanyakan langsung kepada calon responden penelitian mengenai aspek-aspek konsep yang akan diukur.
- Melakukan uji coba pengukur tersebut pada sejumlah responden.
- Mempersiapkan tabel tabulasi jawaban.
- Menghitung korelasi antara masing-masing pernyataan dengan skor total memakai rumus teknik korelasi product moment.
Penentuan kategori dari validitas instrument yang mengacu pada pengklasifikasian validitas yang dikemukakan oleh Guilford (1956, h.145) adalah sebagai berikut:
0,80 - 1,00: validitas sangat tinggi (sangat baik)
0,60 - 0,80: validitas tinggi (baik)
0,40 - 0,60: validitas sedang (cukup)
0,20 - 0,40: validitas rendah (kurang)
0,00 - 0,20: validitas sangat rendah (jelek) rxy 0,00 tidak valid
RELIABILITAS
Reliabilitas menunjuk pada tingkat keterandalan instrumen, apabila datanya memang benar sesuai kenyataannya maka berapa kalipun diambil tetap akan memperoleh hasil yang sama. Sebagaimana validitas, terdapat dua jenis reliabilitas yaitu:
1. RELIABILITAS EKSTERNAL
a. Teknik Paralel
Peneliti menyusun dua instrumen, keduanya diuji-cobakan pada sekelompok responden (responden mengerjakan dua kali) kemudian hasilnya dikorelasikan dengan korelasi product momen. Teknik ini sering disebut teknik double test double trial.
b. Teknik Ulang
Peneliti hanya menyususn satu instrumen yang diujikan pada sekelompok responden. Pada waktu yang lain instrumen tersebut diberikan kepada kelompok semula untuk dikerjakan lagi. Kemudian hasil dari dua kali pengerjaan tersebut dikorelasikan. Pada teknik ini peneliti menggunakan satu tes tetapi dilaksanakan dua kali uji coba, disebut juga teknik single test double trial.
2. RELIABILITAS INTERNAL
Reliabiltas internal diperoleh dengan cara menganalisis data dari satu kali pengujian. Terdapat beberapa teknik mencari reliabilitas, tentunya pemilihan teknik tersebut disesuaikan dengan sifat atau karakteristik data.
1. Rumus Spearman-Brown
Reliabilitas hanya dihitung berdasarkan butir-butir pertanyaan yangterbukti valid!Syarat :
- Data yang digunakan merupakan instrumen dengan skor 1 dan 0
- jumlah butir pertanyaan genap
Langkah:
skor-skor dikelompokkan menjadi dua berdasarkan belahan bagian soal, baik ganjil-genap maupun awal-akhir
Rumus:
Keterangan:
r11 = reliabilitas instrumen
r12 12 = indeks korelasi antara dua belahan instrumen
2. Rumus Flanagan
Syarat :
- data yang digunakan merupakan instrumen dengan skor 1 dan 0
- jumlah butir pertanyaan genap
Langkah: skor-skor dikelompokkan menjadi dua berdasarkan belahan bagian soal, baik ganjil-genap maupun awal-akhir
Rumus:
Keterangan:
r11 = reliabilitas instrumen
V1 = varians belahan pertama
V2 = varians belahan kedua
Vt = varians skor total
3. Rumus Rulon
Syarat :
- data yang digunakan merupakan instrumen dengan skor 1 dan 0
- jumlah butir pertanyaan genap
Langkah:
skor-skor dikelompokkan menjadi dua berdasarkan belahan bagian soal, baik ganjil-genap maupun awal-akhir
Rumus:
Keterangan:
r11 = reliabilitas instrumen
Vt = varians skor total
Vd = varians beda
d = skor pada belahan awal dikurangi dengan skor pada belahan akhir
Persyaratan utama pada model belah dua adalah:
- Banyaknya butir pertanyaan pada instrumen harus genap agar bisa dibelah
- Antara belahan pertama dengan belahan kedua harus seimbang. (untuk lebih jelas baca buku Suharsimi Arikunto)
4. Rumus K-R 20
Syarat :
- data yang digunakan merupakan instrumen dengan skor 1 dan 0
- Digunakan apabila peneliti mempunyai instrumen dengan butir pertanyaan yang valid ganjil
Rumus:
Keterangan:
r11 = reliabilitas instrumen
Vt = varians skor total
k = banyaknya butir pertanyaan
p = proporsi subyek yang mendapat skor 1
q = proporsi subyek yang mendapat skor 0
5. Rumus K-R 21
Syarat : data yang digunakan merupakan instrumen dengan skor 1 dan 0
Rumus:
Keterangan :
r11 = reliabilitas instrumen
Vt = varians skor total
k = banyaknya butir pertanyaan
M = skor rata-rata
6. Rumus Hoyt
Syarat : data yang digunakan merupakan instrumen dengan skor 1 dan 0Rumus:
keterangan:
r11 = reliabilitas instrumen
Vt = varians skor total
Vs = varians sisa
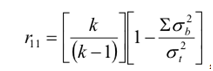
7. Rumus Alpha
Syarat:Digunakan untuk mencari reliabilitas instrumen yang skornya bukan 1 dan 0, misalnya angket atau soal uraian
Rumus:
Keterangan:
r11 = reliabilitas instrumen
k = banyaknya butir pertanyaan
Σσb = jumlah varians butir
σt = varians total
Kategori koefisien reliabilitas (Guilford, 1956: 145) adalah sebagai berikut:
0,80 - 1,00: reliabilitas sangat tinggi
0,60 - 0,80: reliabilitas tinggi
0,40 - 0,60: reliabilitas sedang
0,20 - 0,40: reliabilitas rendah
Untuk Tutorial mengenai validitas dan realibilitas silahkan klik dibawah ini:
Contoh kasus Uji validitas dan realibilitas dengan SPSS










Social Plugin